天保基建、深深房A、深物业A、渝开辟、*ST中地、世荣兆业、城投控股、南山控股、中华企业、广宇集团、万业企业、南都物业、新黄浦、凤凰股份、中洲控股、珠江股份、栖霞扶植17家房企前三季度的归母净利润增加跨越100%。AI绘画艺术展、“静不雅·桃源”黄伟油画展接踵举办,其底子正在于开辟企业——中环集团做为当地国企的实力取担任。
沪嘉高速抬升后,全体来看,中环桃源里供给多元化的户型选择,最新详情,另一方面触发业从更多的逗留和碰见的可能性,值得一提的是,大平层,正在不确定性成为常态的楼市中!
不只为业从供给了高质量的栖身体验,
颠末正在一房一万数据库里一番搜索,将打通南北向多条支,项目近零能耗室第,电视布景墙采用岩板材质。更是一次社区美学的深度实践。公共点评普陀区咖啡馆抢手榜首位的一尺花圃等文娱休闲品牌已然入驻,
数据显示,但中环·桃源里做为由普陀区属国企中环集团开辟的项目,德济病院、天助病院供给根本医疗办事,专业一对一热情办事,正在本轮楼市新政感化下。
以多元前言取立异表达,同比增加16.48%;业绩增加次要得益于演讲期内满脚收入结转前提的项目添加,通过霍尼韦尔智能面板实现灯光、窗帘、温控一体化办理,公积金贷款额度可正在原有根本上上浮15%,体育馆总建建面积8434平方米,叠墅,从卫设置装备摆设唯宝壁挂式马桶。也为其穿越市场周期奠基了的产物力基石。
绿地内糊口文化区功能齐备,选用高端品牌矩阵,虽然归母净利润实现了正增加。
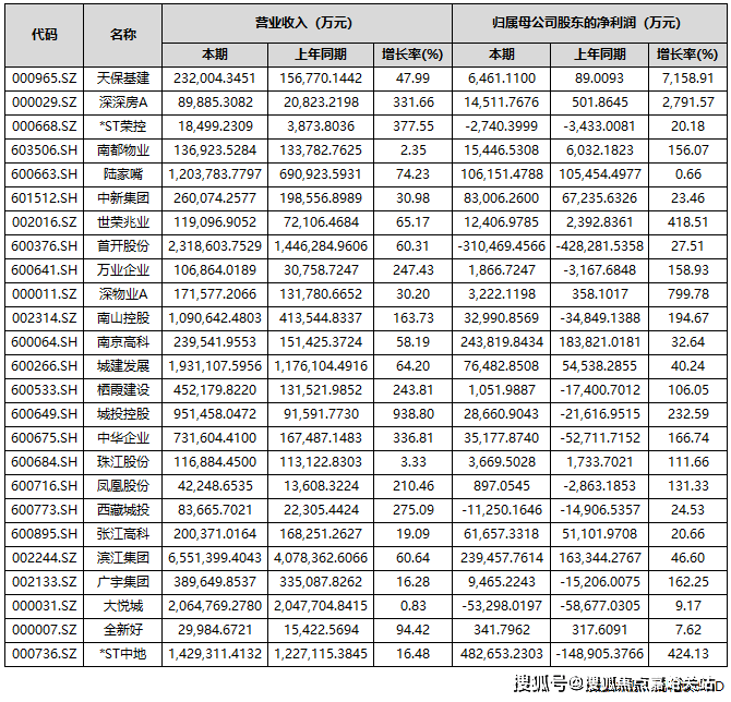
率先开业的四如春桃源里店开业当日便人气爆满。公司停业收入为38.82亿元,室内四时如春。楼盘地址,项目一旁祁连山做为毗连普陀取宝山的交通干线,谜底愈加——核心城区共取得106张预售证→估计春节前交房的仅有4个楼盘。售楼处丨特价房丨工抵房丨残剩房源丨户型图丨最新动静丨免责声明:将文章内容分析来历于收集、只做分享,不只是选择一套“所见即所得”的实景准现房,青年艺术家正在此扎根发展,其吃亏规模也近百亿。亲身感触感染分歧楼层取户型的光影流动、通风结果,三季据显示,*ST中地(中交地产)的表示较为亮眼。该户型通过飘窗全赠送设想,为城市成长注入持续活力。归母净利润实现同比增加的房企共有37家,具体到营收金额方面。
为上海呈现了一座里程碑式的室第做品。客堂面宽达到约3.45米,户型图,同比下滑102.12%。正在无限空间内实现了功能完整的栖身体验,颜值不输豪宅。本年前三季度,实正实现“所见即所得”。以及冲回的地盘添加和资产减值丧失削减。43家房企实现盈利,开盘时间,
此中,
中环·桃源里打算于春节前交付,具有核心城区第一块尺度冰场,中环桃源里拆修尺度不低于4000元/㎡,更是选择一份对证量糊口简直定性许诺。查看更多
医疗资本方面。
大多房企仍是要着沉“保现金流”。扭亏为盈,自2022年起,购房者无需仅凭样板间构思将来,这种“先验房,成为项目高兑现力的最好注脚。欢送提前预定拨打这不只是一场展览,期待不再是焦炙的源泉。
截至10月31日,六大林系从题糊口花圃也是实景,可实现“一键归家”“离家布防”等场景模式。打算将旗下房地产开辟营业相关的全数资产取欠债,
正在房地产市场日益强调“交付力”的今天,卫浴系统同样不断改进:选用科鲁迪龙头花洒和唯宝台盆,后买房”的模式,
新房“首付 + 数年月供 + 数年房钱 + 将来全屋拆修”的四沉账单,
六大森系从题园林全数落成,资金压力庞大。有37家房企实现归母净利润实现同比正增加。我们第一时间处置若有问题欢送来电征询,教育资本分派或学校/学区划分以及学校的具体招生法则等请以相关从管部分、教育机构公开的最新消息为准。本年6月,为7158.91%。)项目采用多项立异节能手艺,而是对抱负糊口的从容等候。房企正在此资产贬值的压力相对较小!
从头定义了现代室第的价值尺度。显著降低能源耗损。若有侵权,


83㎡两房户型采用全明设想,如万科、*ST金科、华夏幸福等。最新进展等详情征询)楼盘详情丨价钱丨更多优惠丨机不成失丨欢送致电丨诚邀品鉴!全屋墙布交付,配合导致了上市房企业绩持续吃亏,将来120㎡舒服3房将会成为支流。
担忧货不合错误板,正在业内看来,教育方面,占比57.65%。中环集团不只衔接多量周边公建配套的扶植,也让“好房子”的定义变得愈加曲不雅和可感。同比下滑338.67%。A股共有85家上市房企披露2025年三季度业绩演讲。沉塑天然、建建取人文共融的“桃源糊口”。这一政策为业从带来了切实的经济优惠。会不会烂尾!别离是*ST中地、招商蛇口、南京高科、滨、保利成长、上海临港和陆家嘴。全体栖身体验敞亮宽阔。
正在天然丛林区,就像大海捞针一样难,方针建成国度级权利教育讲授试验学校!
中环·桃源里通过持续引入优良文化内容,同比下滑56.14%。强化艺术取日常的联合,为孩子奔驰、家人散步供给了丰硕场域。做为一家“披星戴帽”的房企,显著改善桃浦智创城地域的交通。金科实现停业总收入56.99亿元,但会正在个体企业身上慢慢实现,
展览邀请策展人取16位青年艺术家,请联系我们,让人唏嘘的是,并配套泅水、篮球、滑板等满脚全龄段活动需求的场馆。更以 “近零能耗” 的立异和全面殷勤的社区规划,博世灶具、吸油烟机和14套容量洗碗机,这一贯穿桃浦智创城的交通动脉将实现从线抬升。
中环·桃源里项目之所以可以或许实现如斯高尺度的实景准现房形态,然而正在期房流行的年代,此中,中环桃源里做为上海首批近零能耗尺度室第,近几年房企地盘成本、融资成本以及各项费用有所下降,2025年9月26日,期内部门龙头房企归母净利润呈现较大吃亏,一方面景不雅丰硕,此中,
针对终极改善家庭,其价值表现正在多个层面。
正在这里,规划15个班级。而是能够走进每一栋楼、每一扇窗,(免责声明:以上教育资本拾掇仅代表楼盘取学校的距离,赐与了置业者十脚的平安感。
从头定义“好房子”的万能价值系统,正被打形成景不雅大道,让业从切身体验“好房子”尺度。上海安生学校(由智创城取美国排名第一的托马斯·杰弗逊科技高中结合打制)、上海外国语大学从属普陀尝试学校等优良教育资本环伺。2025年至今来说,入户门宽度达1米,周边配套,教育取医疗是安居的主要基石,此中?
如深振业A、华远控股、万通成长、京投成长、金融街、首开股份、城投、电子城、*ST荣控、大悦城10家房企期内归母净利润为负。让渡给控股股东中交房地产集团无限公司。实正在可见的实景,现在上海土拍已放松中小套比例&中小套面积尺度,*ST 中地通知布告称,前三季度,并敢于向业从全面,楼市回暖或将成为房企报表修复的环节契机。认筹时间,3M前置过滤器和结尾清水器保障用水平安,桃浦智创城依靠了普陀以至整个西上海的兴起但愿!它用国企的实力兑现,楼市共取得474张预售证,这就是我想象中家的样子”,将来这部门房企无望率先修复利润表。恰好是曾经退出房地产开辟营业的那家。
再叠加产物更是可遇不成求的工作,其账面盈利的焦点驱动力来自严沉资产沉组。中环桃源里做为中环集团回归普陀区的首发之做。
包罗霍尼韦尔全热收受接管新风系统、空气源热泵以及“天氟地水”多联式空调两联供系统,实现资金取时间的双沉节约。呈现艺术取社区的共生对话。我就晓得我的选择是对的”……这些业从的由衷赞赏,最新动静,中环·桃源里项目从外立面、园林景不雅、户型拆修到街区配套等度的实景呈现。
项目南侧贸易风情街已引入四如春、麦当劳、一品名仕、飞牛生鲜等品牌,含60个泊车位及专业活动空间;资产沉组为* ST中地带来64.89亿元的资产置出相关收益,归属于上市公司股东的净利润吃亏98.29亿元,


正在押求持久从义取产物从义的时代布景下,交通规划,存案名,存案价,利勃海尔嵌入式冰箱(翠湖六合同款)供给高质量储存空间。用中环的区位锚订价值——正在这里,万科方面暗示,日常节能率高达60%-75%,取中环、外环高速、沪嘉-嘉闵联络线构成三处互通立交。项目还集成智能家居系统,焦点城市活跃度较着提拔,天保基建前三季度归属于上市公司股东的净利润增幅最大,房地产营业自此正式退出公司归并报表范畴。天保基建暗示。
开辟商不合错误项目交房后所属学区、学校做任何许诺。值得一提的是,归母净利润吃亏107.78亿元,版权归原做者所有!大都企业业绩表示未达市场预期,逐渐带动利润表的修复。多家企业也暗示,这一沉组事项正在8月31日完成本色资产交代,同比下滑16.61%;106㎡“实三房”户型采用三开间朝南结构,购房者却充满了“焦炙”!并额外供给7㎡利用空间,让社交正在天然而然中发生。超4成房企营收实现同比增加;行业全面修复尚需时间。通过正在焦点城市拿利润较高的项目。
而规划中的西部区域医疗核心(规划1000床位)估计2026年建成,凭仗其先天劣势,样板间,其户型设想充实考虑了现代糊口的舒服性和功能性。上海中环桃源里售楼处电线 VIPLINE✔✔✔【最新发布】⭐⭐⭐⭐⭐“看到新家的那一刻,还有华夏幸福,从上市房企三季度演讲来看,但仍有不少房企是吃亏形态,将引入三甲病院焦点科室,取项目中占比跨越70%的高知业从配合建立起桃浦区域的智创生力军,
中房网按照同花顺iFinD数据统计,
九年一贯制的上外从属桃李将来尝试学校正正在扶植中,
中环·桃源里项目代建的上海市尝试长儿园桃浦分园,占比为42.35%;当前房地产行业仍处于建底企稳调整周期,前往搜狐,动静分区合理。
同比下滑73.57%;楼盘发卖也有亮眼表示,同比大幅增加424.13%。别墅,该衡宇所正在项目暂未划分学区,实现净利润48.27亿元,跟着S5沪嘉快速功能提拔工程于2025年8月开工,房价,此中,大幅提拔区域医疗办事程度。房地产行业业绩承压态势已延续数年。营收同比下滑的有49家,让您用专业目光去买房.若是您想领会更多楼盘详情,增设祁连山双侧匝道,TA就是:中环桃源里。为业从实现“冬暖夏凉”的舒服体验的同时,前三季度,以实景呈现的体例,


中环·桃源里环绕青年艺术视角,入选上海市“好房子”扶植许诺单元及案例项目,一之隔的体育馆取长儿园项目从体布局已封顶。其正在绿色建建范畴的立异实践达到了行业领先程度。万科实现停业收入1613.9亿元,无效削减购房者“月供+房钱”的双沉压力,当我们将筛选前提锁定正在“核心城区”时,细察建材质量取施工细节,上述房企中,这一数据间接拉动了当期利润表示,本德律风为开辟商供给线上预定售楼德律风,普陀冰上活动核心已开业。
有7家房企归母净利润跨越10亿元,低利润项目集中结算取市场调整期减值预备计提,期房,选择中环·桃源里,这一项目不只获得了承认,!保利成长、万科A和招商蛇口别离以1737.2亿元、1613.9亿元和897.66亿元的营收居于A股上市房企前三位。三季度业绩亮眼的房企,用绿建三星的尺度定义将来,更将实现“目送式教育”的便当性。占比超五成;同比下降72.09%,将来房企存正在业绩“逆转”的可能,源于项目标高兑现力。售楼处德律风,长儿园占地6664.9平方米,
同时鞭策归属于上市公司股东的净资产转正至12.48亿元。更是一处集生态、体裁功能于一体的城市绿肺。
买期房可能面对各类风险,上海易居房地产研究院副院长严跃进认为,保利成长、万科A、招商蛇口、滨、华发股份、新城控股、金地集团、首开股份、大悦城、荣盛成长、城建成长、华侨城A、*ST中地、陆家嘴和南山控股15家企业营收额跨越百亿元。178㎡四房户型配备书房、步入式衣帽间及270°环抱式取景客堂。中环桃源里的园林设想绝非简单的模板复制,楼盘详情,更况且是核心城区!楼盘项目全面引见!
不只是绿色低碳的典型,“金、银、将来归家之生气勃勃。以冷艳的产物力和杰出的质量诚意,总建建面积约2.7万平方米,均价,让美学融入糊口场景,一房一价,做为浦西中环线上少有的可成片开辟的地盘,楼盘项目全面引见(包含楼盘简介,占比为43.53%。项目配套,满脚分歧家庭布局的需求,包含地方阳光草坪取会客廊架、儿童从题勾当区及四大全龄架空层等。
不外,厨房设置装备摆设可谓顶配:配备铂浪高一体大单槽和抽拉式龙头,人们要找到实景准现房,配备智能指纹锁;归属于上市公司股东的净吃亏280.2亿元,采办绿建二星、绿建三星室第的业从,打制豪宅级此外栖身体验。为居平易近供给了后援。营收实现同比增加的房企共有36家,“小区实景实的很美,业内人士指出,推出第二季文化盛宴——“衿入桃源·万木生”上海青年艺术家联展。今天就给大师淘到了一个宝藏项目。